• Предмет: Алгебра
  • Автор: NIKITASEW24
  • Вопрос задан 9 лет назад

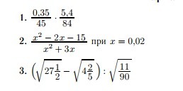
помогите срочно (с подробным решением)

Приложения:

Ответа на этот вопрос пока нет. Попробуйте найти его через форму поиска.

Вас заинтересует