• Предмет: Алгебра
  • Автор: usovalekcq
  • Вопрос задан 9 лет назад

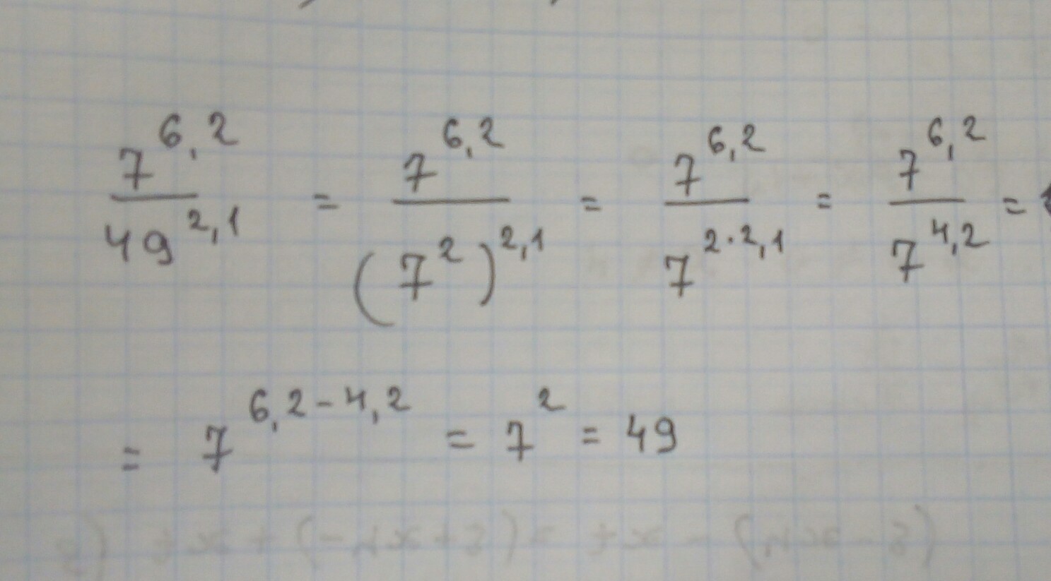
вычислите значения выражения 7^6,2/49^2,1

Ответы

Ответ дал: ВикаВикторовна
0
решение на фото.............
Приложения:
Ответ дал: megrelirachel
0
7^6.2/49^2.1=
(7^2)^3.1/(7^2)^2.1=
(7^2)^(3.1-2.1)=
(7^2)^1=
7^2=49
Приложения:
Вас заинтересует