• Предмет: Алгебра
  • Автор: olenin2001
  • Вопрос задан 9 лет назад

Решите пожалуйста!За правильное решение дам 100 баллов!

Приложения:

Ответы

Ответ дал: Аноним
0
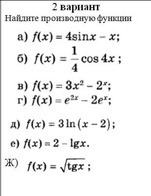
1)f(x)=4sinx-x \ f'(x)=4cosx-1 \  \ 2)f(x)=1/4cos4x \ f'(x)=-sin4x \  \ 3)f(x)=3x^2-2^x \ f'(x)=6x-ln2*2^x \  \ 4)f(x)=e^2^x-2e^x \ f'(x)=2e^2^x-2e^x \  \ 5)f(x)=3ln(x-2) \ f'(x)= frac{3}{x-2}  \  \ 6)f(x)=2-lnx \ f'(x)=- frac{1}{x} \  \ 7)f(x)= sqrt{tgx} \ f'(x)= frac{ sqrt{tgx} }{sin2x}
Ответ дал: olenin2001
0
спасибо вам:)
Ответ дал: Аноним
0
рад был помочь)
Ответ дал: Igor2000Petrov
0
А мне не можете помочь?
Вас заинтересует