• Предмет: Алгебра
  • Автор: Abrikossss
  • Вопрос задан 11 лет назад

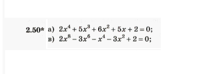
пожалуйста помогите решить. дошла до замены на t в первом примере, а дальше мрак.

Приложения:

Ответа на этот вопрос пока нет. Попробуйте найти его через форму поиска.

Вас заинтересует