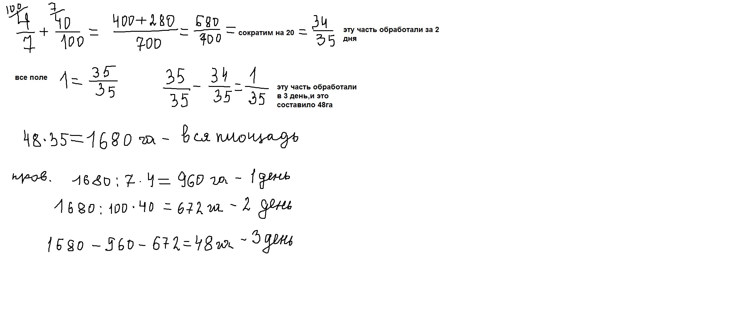
Tractor operators ploughed the plain in 3 days. On the first day they ploughed 4/7 of the area of the plain, on the second day they ploughee 40% on the third day- the remaining 48 hectares. Find the area of the ploughed plain.
Ответы
Ответ дал:
0
надеюсь перевела и поняла задачу правильно.
40%=40100
40%=40100
Приложения:
Вас заинтересует
2 года назад
2 года назад
3 года назад
3 года назад
9 лет назад
9 лет назад
10 лет назад