• Предмет: Алгебра
  • Автор: JeDor15
  • Вопрос задан 9 лет назад

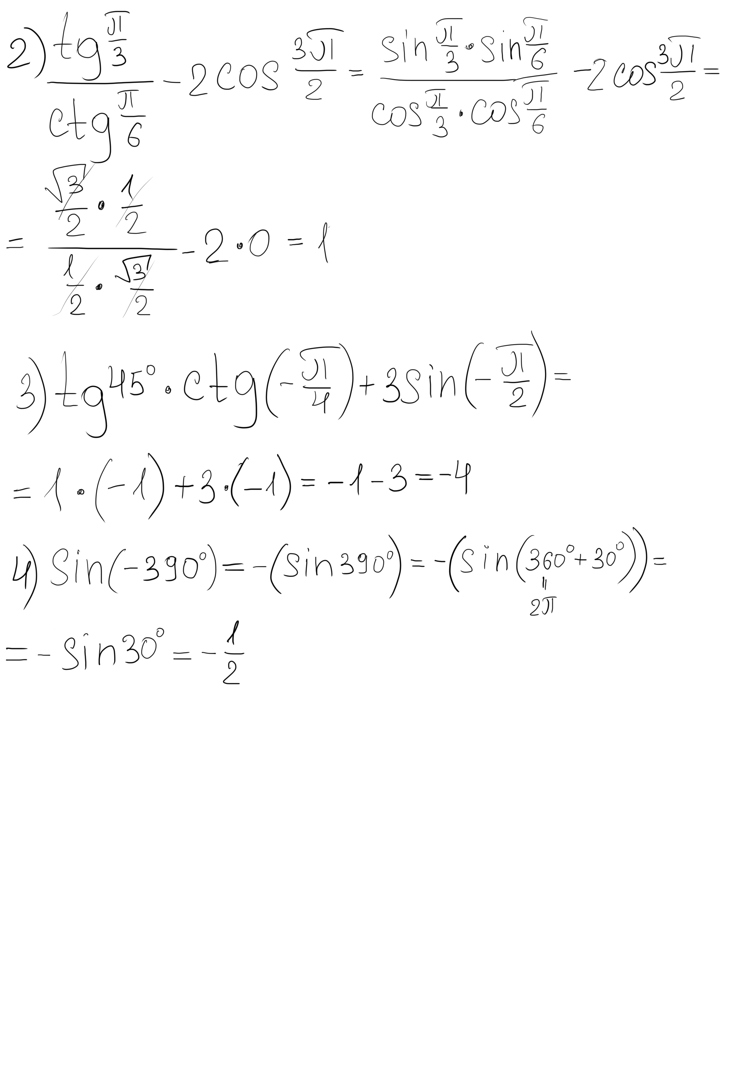
Помогите, пожалуйста, вычислить

Приложения:

Ответы

Ответ дал: Kirik009
0
вроде все правильно, но лучше проверить
Приложения:
Вас заинтересует