СРОЧНО!!!!!
Постройте график функции,заданной формулой у=3х. Найдите по графику:
а)значение у при х=-2;0;3.
б)значение х при у=-9;-3;6.
Пожалуйста с графиком)
Ответы
Ответ дал:
0
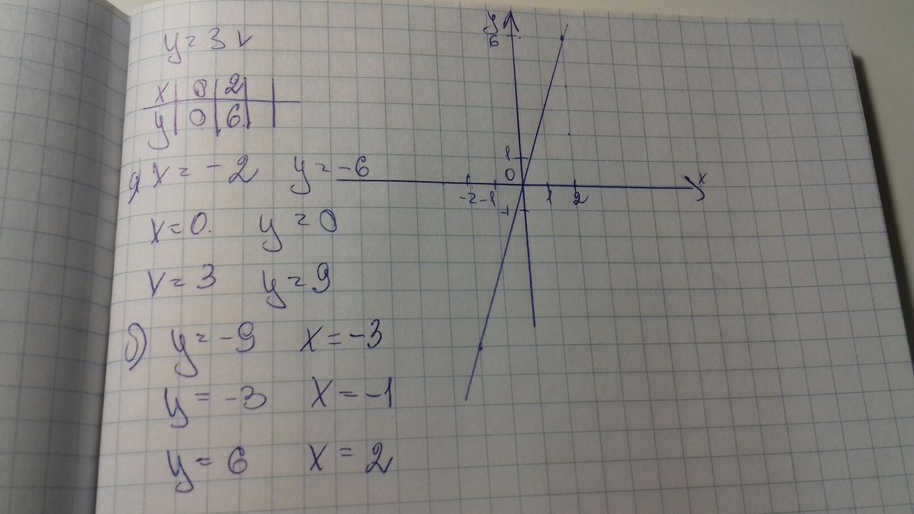
у=3х
точки: если х=0 у=0; х=2 у=6
а) х=-2 у=-6
х=0 у=0
х=3 у=9
б) у=-9 х=-3
у=-3 х=-1
у=6 х=2
точки: если х=0 у=0; х=2 у=6
а) х=-2 у=-6
х=0 у=0
х=3 у=9
б) у=-9 х=-3
у=-3 х=-1
у=6 х=2
Приложения:

Вас заинтересует
2 года назад
2 года назад
3 года назад
3 года назад
9 лет назад
9 лет назад
10 лет назад