Задание нужно выполнить в Паскале используя оператор цикла с параметром (for).
Делал сам, но вышло криво:
var a, b, h, x, f, xi, yi: real;
n, i: integer;
Begin
write('a=');
read(a);
write('b=');
read(b);
write('n=');
read(n);
for var i := 1 to 10 do
writeln(i);
h:=(b-a)/n;
writeln('h=', h);
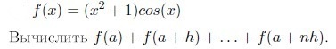
f:=(sqr(x)+1)*cos(x);
xi:=a+i*h;
writeln('xi=',xi);
yi:=xi;
writeln('yi=',yi);
writeln('f=', f);
End.
Приложения:
Ответы
Ответ дал:
0
var a, b, h, xi, yi: real;
n, i: integer;
Begin
write('a=');
readln(a);
write('b=');
readln(b);
write('n=');
readln(n);
h:=(b-a)/n;
for i := 0 to n do
begin
xi:=a+i*h;
yi:=(sqr(xi)+1)*cos(xi);
writeln(xi:4:1,yi:7:3);
end;
End.
Пример:
a=-2
b=2
n=10
-2.0 -2.081
-1.6 -0.104
-1.2 0.884
-0.8 1.143
-0.4 1.068
0.0 1.000
0.4 1.068
0.8 1.143
1.2 0.884
1.6 -0.104
2.0 -2.081
n, i: integer;
Begin
write('a=');
readln(a);
write('b=');
readln(b);
write('n=');
readln(n);
h:=(b-a)/n;
for i := 0 to n do
begin
xi:=a+i*h;
yi:=(sqr(xi)+1)*cos(xi);
writeln(xi:4:1,yi:7:3);
end;
End.
Пример:
a=-2
b=2
n=10
-2.0 -2.081
-1.6 -0.104
-1.2 0.884
-0.8 1.143
-0.4 1.068
0.0 1.000
0.4 1.068
0.8 1.143
1.2 0.884
1.6 -0.104
2.0 -2.081
Вас заинтересует
2 года назад
2 года назад
3 года назад
3 года назад
9 лет назад