• Предмет: Алгебра
  • Автор: valeriklera
  • Вопрос задан 9 лет назад

Помогите решить хоть что нибудь буду очень благодарна 3x²y*(x+5y)
6xy²*(2x²-3y)
7x²y(5xy²-6x²y)+3x(4y³x+12x²y²)
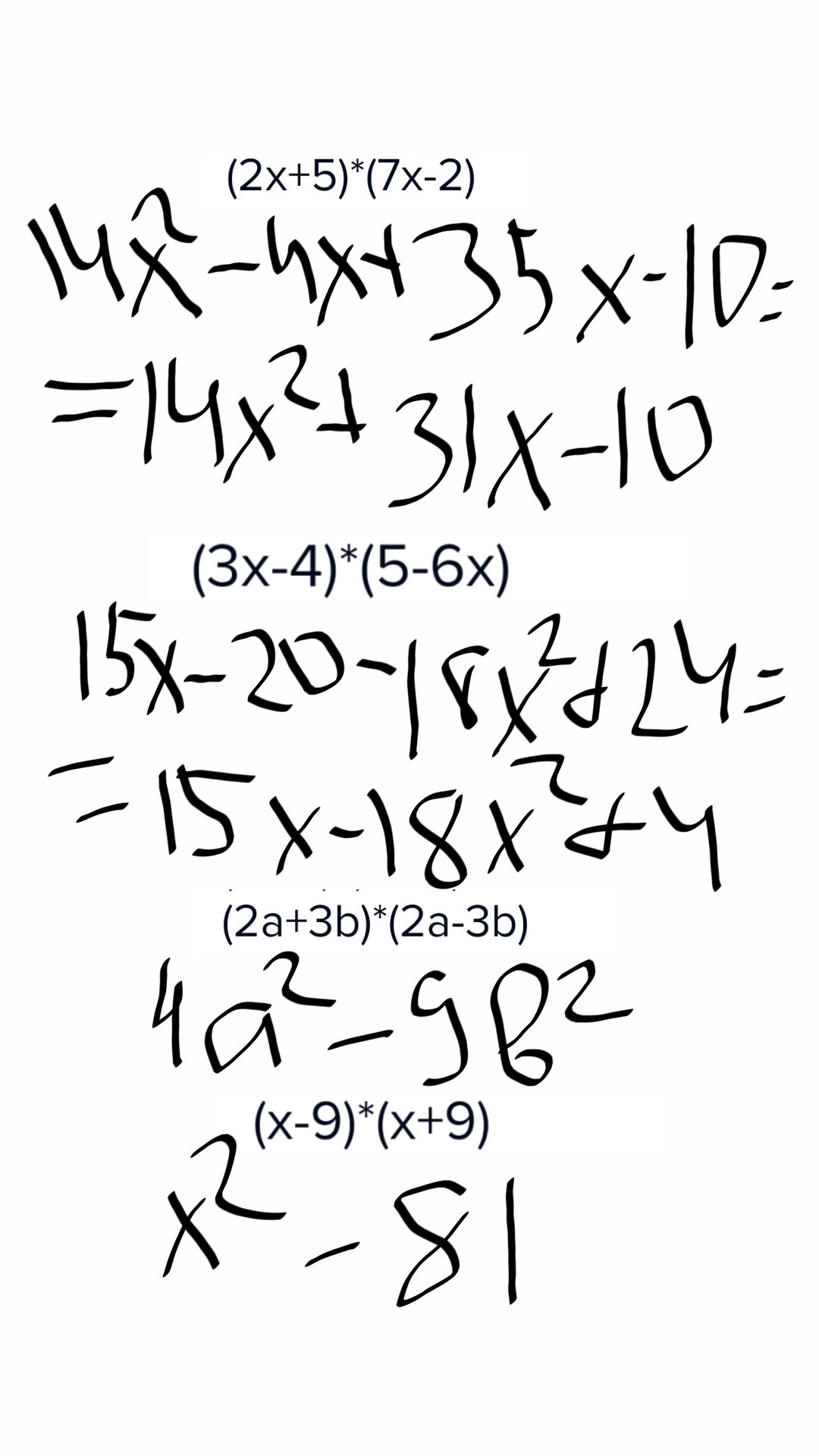
(2x+5)*(7x-2)
(3x-4)*(5-6x)
(2a+3b)*(2a-3b)
(5x-7)*(2x+3)
(x-9)*(x+9)
(x-3)*(x²+3x+9
Если что тема умножения многочлена на многочлен

Ответы

Ответ дал: Ann14Che
0
Вот, надеюсь всё понятно
Приложения:
Вас заинтересует