• Предмет: Алгебра
  • Автор: antonuser
  • Вопрос задан 9 лет назад

Решите, пожалуйста. Алгебра 11 класс.

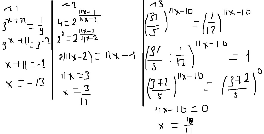
Приложения:

Ответы

Ответ дал: egorivashkin2
0
____________________________________
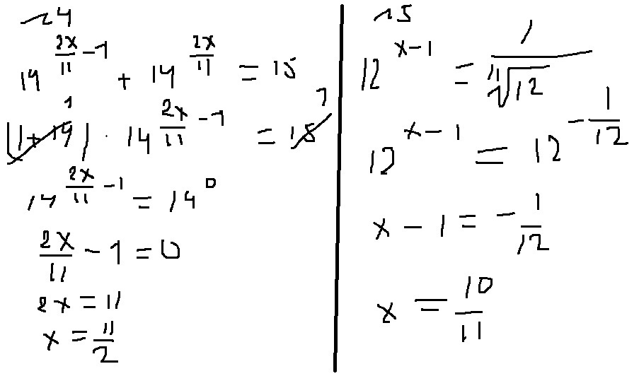
Приложения:
Ответ дал: antonuser
0
А можешь остальные решить?
Ответ дал: egorivashkin2
0
Их много?
Ответ дал: egorivashkin2
0
Сколько еще?
Ответ дал: antonuser
0
а все увидел) спасибо, просто с телефона не открылись
Ответ дал: egorivashkin2
0
=)
Вас заинтересует