Упростите выражение:
варианты ответа:
1)а в -1 степени
2)а
3)а во 2 степени
4)а в 0,5 степени
                        
                                    Приложения:
                    
                            Ответы
                                            Ответ дал: 
                                                                                    
                                        
                                            
                                                
                                                
                                                
                                                    0
                                                
                                            
                                        
                                    
                                        3) а во 2 степениииии
                                    
                                        
                                        
                                
                                            Ответ дал: 
                                                                                    
                                        
                                            
                                                
                                                
                                                
                                                    0
                                                
                                            
                                        
                                    
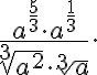
                                        числитель: a^5/3*a^1/3=a^6/3=a^2; знаменатель: a^2/3*a^1/3=a^3/3=a; получаем: a^2:a^1=a. Ответ: цифра 2.
                                    
                                        
                                        
                                Вас заинтересует
                
                        2 года назад
                    
                
                        2 года назад
                    
                
                        3 года назад
                    
                
                        3 года назад
                    
                
                        9 лет назад
                    
                
                        10 лет назад