Ответы
Ответ дал:
0
а) Аn=a1+(n-1)d50=10+(n-1)*450=10+4n-44n=44n=11Sn=(a1+an)/2*nSn=(10+50)/2*11=33 0
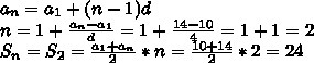
б)
б)
Приложения:

Вас заинтересует
2 года назад
2 года назад
3 года назад
9 лет назад
9 лет назад
10 лет назад