• Предмет: Геометрия
  • Автор: MyOnlyOne
  • Вопрос задан 9 лет назад

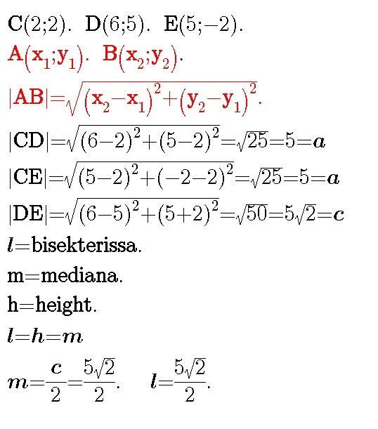
Треугольник CDE задан координатами своих вершин: С(2;2), D(6;5), Е(5;-2).
а) Докажите, что CDE равнобедренный.
б) Найдите биссектрису, проведенную из вершины С.
Первое я доказала, помогите найти биссектрису пожалуйста.

Ответы

Ответ дал: BETTELGEUSE
0
смотри на фото............
Приложения:
Вас заинтересует