• Предмет: Алгебра
  • Автор: Anzutake
  • Вопрос задан 9 лет назад

Решите, умоляю (а и б)
Только не отправляйте ответы с интернета

Приложения:

Ответы

Ответ дал: ctoo13
0
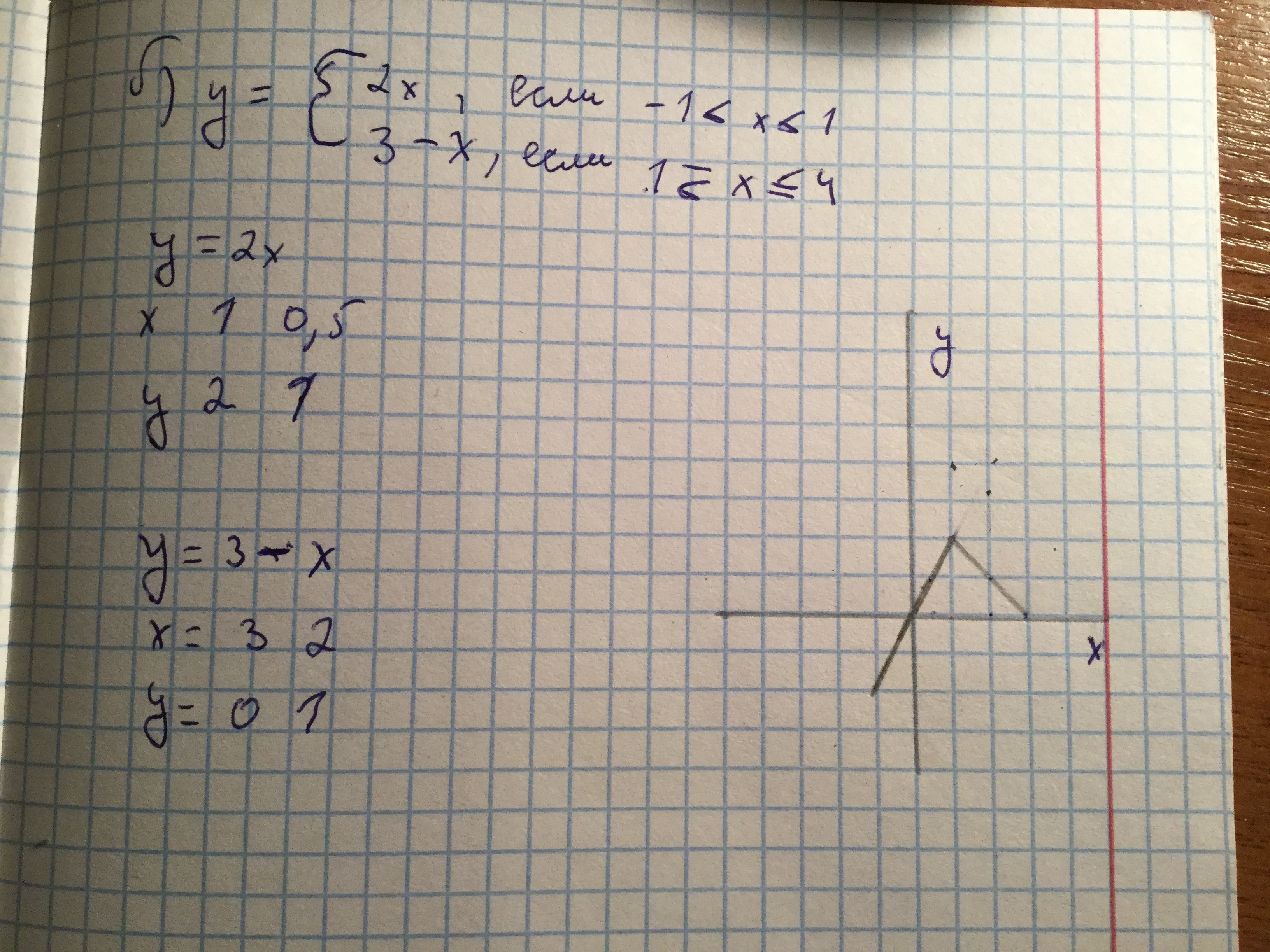
Возможно может так (Не с интернета) Всё переделал
Приложения:
Ответ дал: ctoo13
0
Подржди
Ответ дал: ctoo13
0
Подожди
Ответ дал: ctoo13
0
Забыл второй сделать!!
Ответ дал: ctoo13
0
Всё,готово
Ответ дал: Anzutake
0
Благодарю)
Вас заинтересует