Ответы
Ответ дал:
0
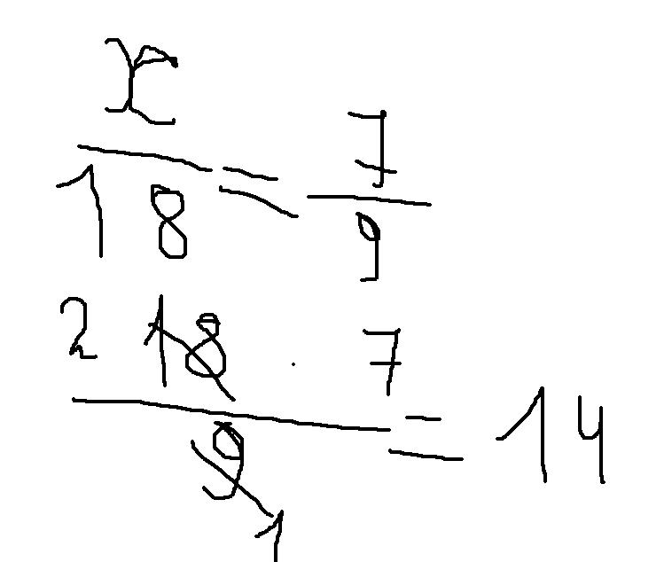
x:18=7:9
9х=18*7
9х=126
х=126/9
х=14
9х=18*7
9х=126
х=126/9
х=14
Ответ дал:
0
6:х=3:7
Ответ дал:
0
ой сейчас кину решение
Ответ дал:
0
3х=6*7 ; 3х=42 ; х=42/3 ; х=14
Ответ дал:
0
вот так будет 14
Приложения:

Вас заинтересует
2 года назад
2 года назад
8 лет назад
8 лет назад
10 лет назад
10 лет назад
10 лет назад