• Предмет: Алгебра
  • Автор: mogilevser
  • Вопрос задан 9 лет назад

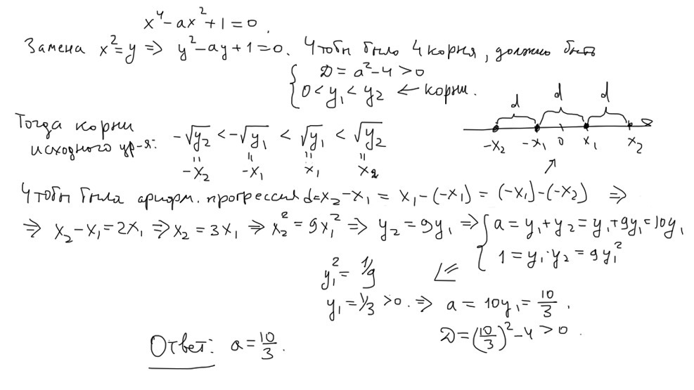
Дам 40 балов за лучшее объяснение!! Найдите все значения для параметра а, при которых уравнение х^4-ax^2+1=0 имеет 4 корня, образующих арифметическую прогрессию.

Ответы

Ответ дал: Denik777
0
Решение прицеплено в картинке.
Приложения:
Вас заинтересует