• Предмет: Математика
  • Автор: garavikovatamar
  • Вопрос задан 9 лет назад

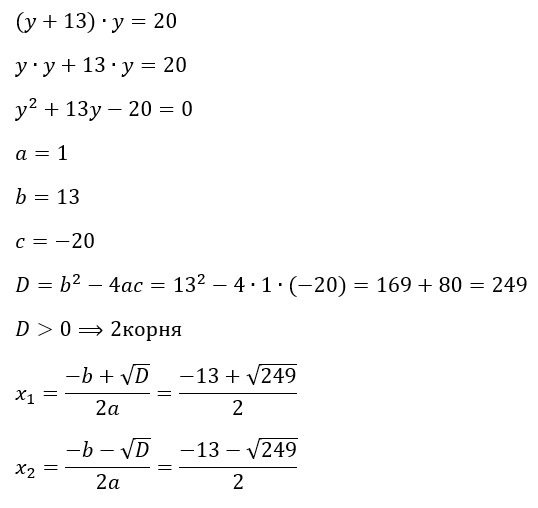
как решить пример(у+13)×у=20

Ответы

Ответ дал: CbIP0K
0
Подробное решение, если "×" - это умножение:

Приложения:
Вас заинтересует