• Предмет: Алгебра
  • Автор: OT7
  • Вопрос задан 9 лет назад

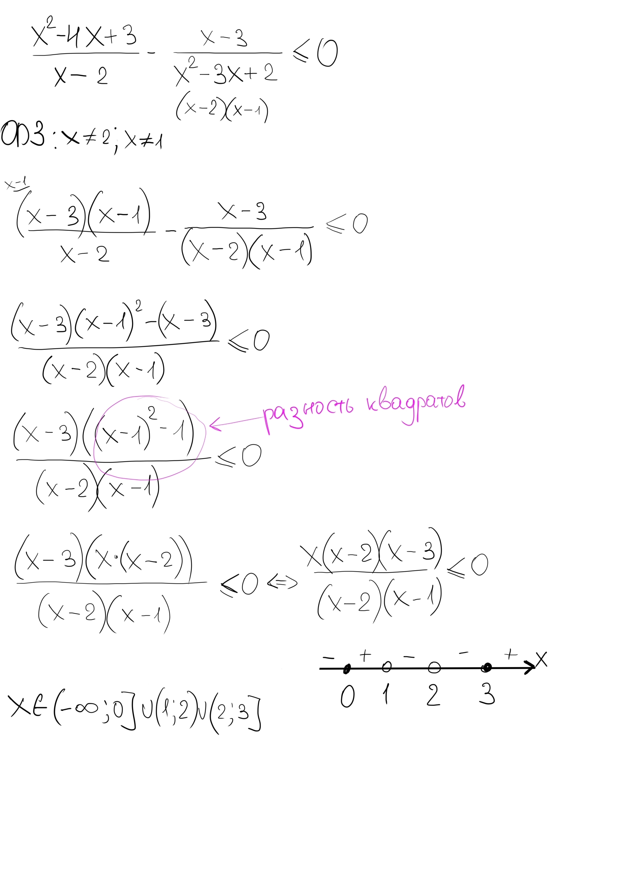
((х^2-4x+3)/(x-2))-((x-3)/(x^2-3x+2))<=0

Ответы

Ответ дал: Kirik009
0
вроде все правильно, но лучше проверить
Приложения:
Ответ дал: eugeke
0
Квадрат разности изначально, а у вас квадрат суммы в итоге
Ответ дал: Kirik009
0
(x-1)^2-1 разность квадратов, из нее не получается (x^2-2x)
Ответ дал: eugeke
0
(x-1)^2-1=(x^2-2x+1)-1=x^2-2x
Ответ дал: Kirik009
0
понял)
Ответ дал: eugeke
0
Исправьте, пока есть возможность
Вас заинтересует