• Предмет: Физика
  • Автор: Студент71653
  • Вопрос задан 9 лет назад

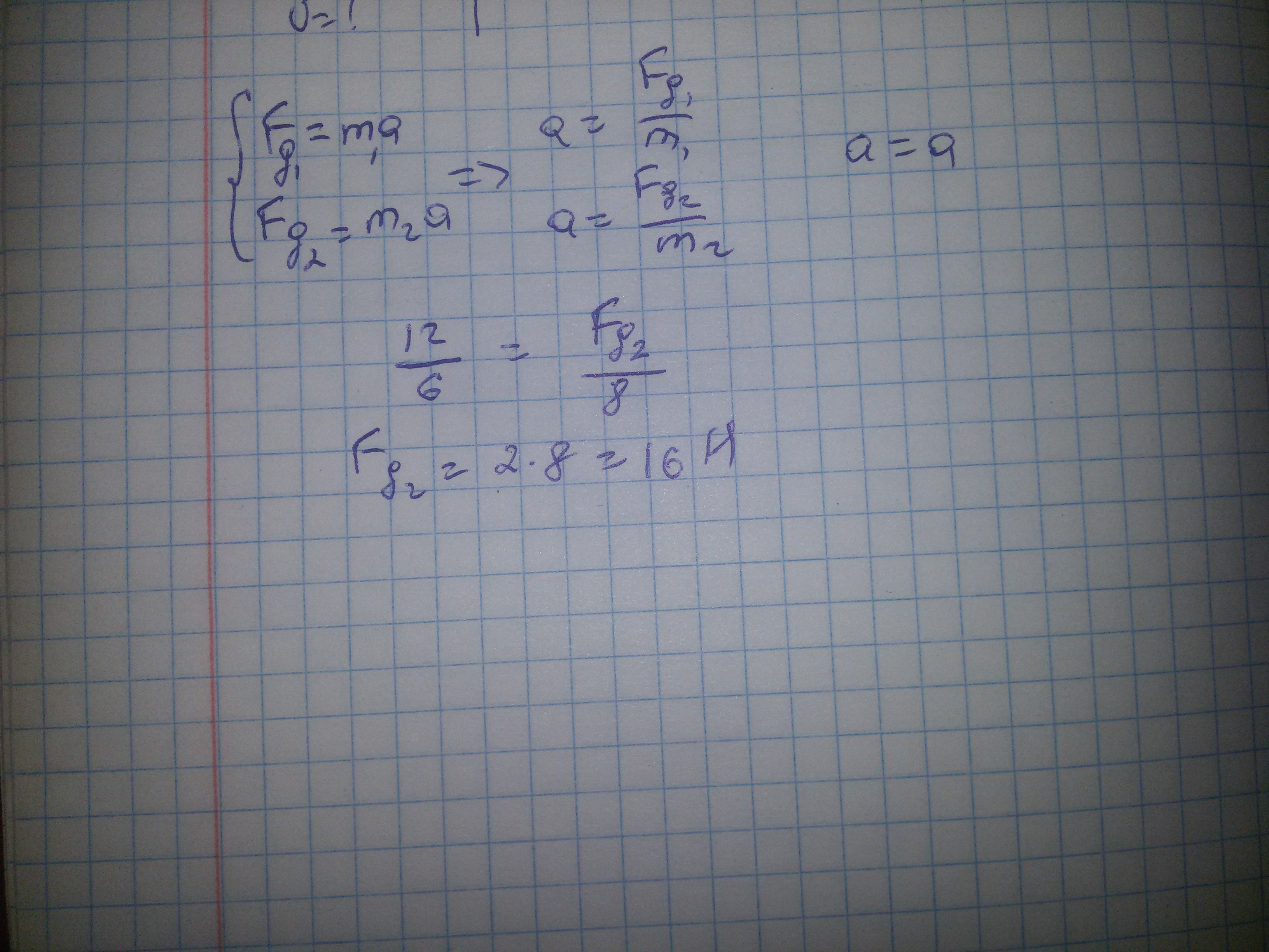
на тело массой 6 кг действует сила 12 Н найти силу действующую на тело массой 8 кг если тела движутся с одинаковым ускорением

Ответы

Ответ дал: JahongirMamatov
0
Ответ ................................
Приложения:
Вас заинтересует