Ответы
Ответ дал:
0
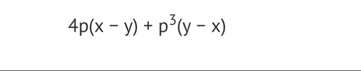
4р(х-у)+р³(у-х)
4р(х-у)+р³*(-(х-у))
4р(х-у)-р³(х-у)
(4р-р³)*(х-у)
р(4-р²)*(х-у)
р(2-р)(2+р)(х-у)
4р(х-у)+р³*(-(х-у))
4р(х-у)-р³(х-у)
(4р-р³)*(х-у)
р(4-р²)*(х-у)
р(2-р)(2+р)(х-у)
Вас заинтересует
2 года назад
2 года назад
3 года назад
3 года назад
9 лет назад
9 лет назад
10 лет назад
10 лет назад