• Предмет: Алгебра
  • Автор: шкальник2281337
  • Вопрос задан 9 лет назад

Найдите числа х и у, удовлетворяющие равенству :

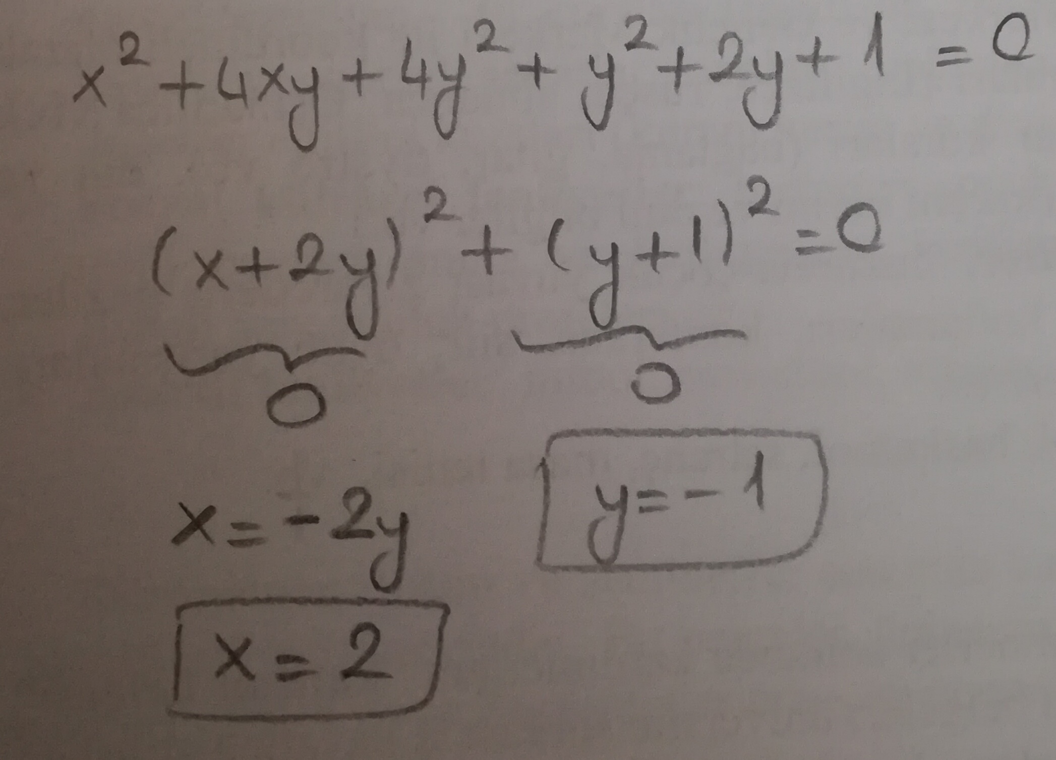
x^{2} + 5 y^{2} + 4xy + 2y + 1 = 0
 x^{2} + 5  y^{2}  + 4xy + 2y + 1 = 0

Ответы

Ответ дал: Аноним
0
I hope this helps you
Приложения:
Ответ дал: шкальник2281337
0
sorry, but you made a mistake, there is not 4y ^ 2, but 5 y ^ 2
Ответ дал: Аноним
0
no it's correct
Ответ дал: Аноним
0
there are two perfect square
Ответ дал: Аноним
0
4y^2+y^2=5y^2
Ответ дал: шкальник2281337
0
I could, thanks again
Вас заинтересует