• Предмет: Алгебра
  • Автор: dassshaVv
  • Вопрос задан 9 лет назад

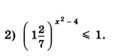
Помогите решить неравенство, пожалуйста. 20 баллов!

Приложения:

Ответа на этот вопрос пока нет. Попробуйте найти его через форму поиска.

Вас заинтересует