• Предмет: Алгебра
  • Автор: Макоська
  • Вопрос задан 9 лет назад

Прошууу помогите с алгеброййй пожалуйста

Приложения:

Ответы

Ответ дал: Simba2017
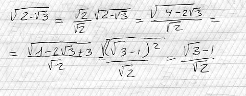
0
...................................
Приложения:
Вас заинтересует