Ответы
Ответ дал:
0
4) H2O
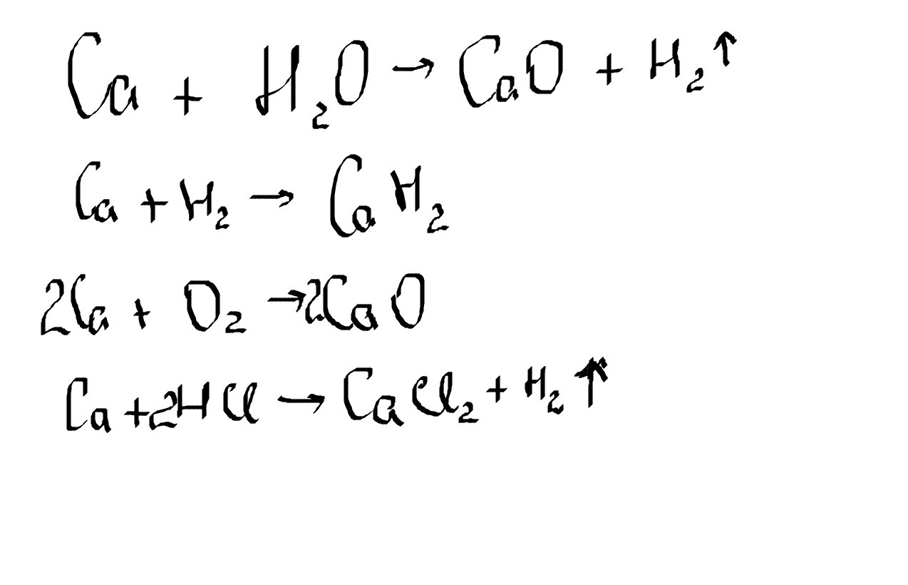
2) Н2
3) HCl
5) O2
2) Н2
3) HCl
5) O2
Приложения:

Вас заинтересует
2 года назад
2 года назад
3 года назад
3 года назад
9 лет назад
9 лет назад
10 лет назад
10 лет назад