• Предмет: Математика
  • Автор: оля27102000
  • Вопрос задан 9 лет назад

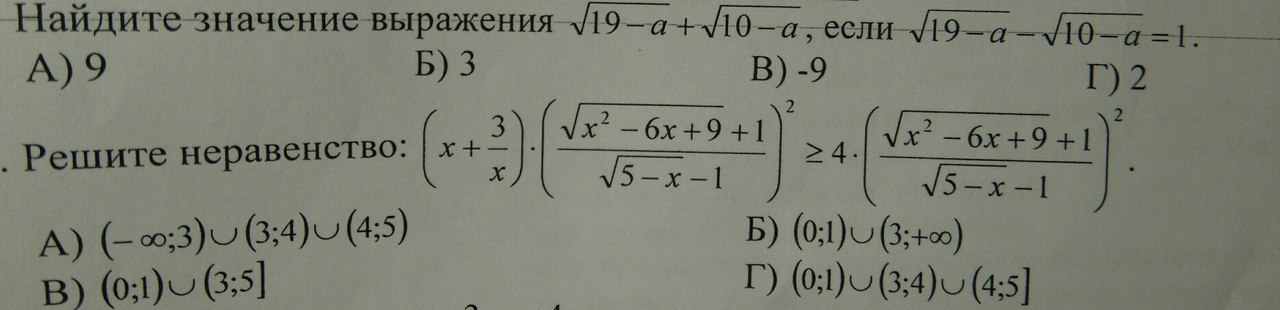
Решите пожалуйста , срочно

Приложения:

Ответы

Ответ дал: ВладимирБ
0
Решение смотри на фото
Приложения:
Вас заинтересует