• Предмет: Математика
  • Автор: Аноним
  • Вопрос задан 11 лет назад

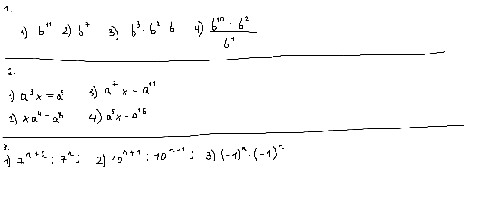
ребят помагите решить задания в 1 задании нужно представить выражение в виде произведения двух множителей один из которых равен b в 4 степени во 2 задании нужно заменить х степенью с основанием а так чтобы полученное равенство было тождеством в 3 задании нужно только упрастить обещаю дам лучшее решение кто решит только решите пожалуста с решением а не только ответы пишите помагите пожалуста

Приложения:

Ответы

Ответ дал: Artem112
0
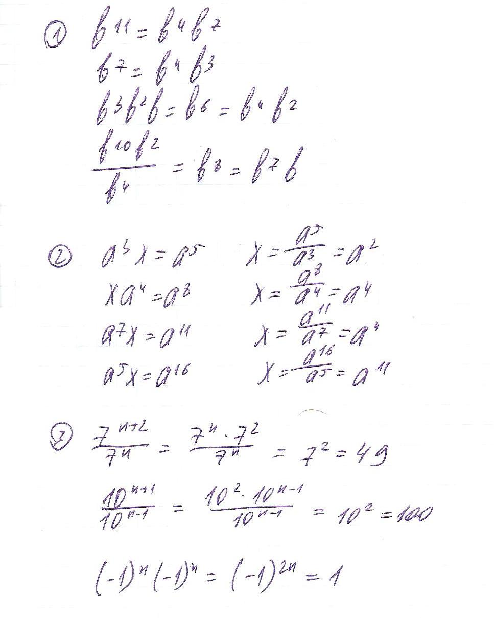
Надеюсь будет понятно...
Приложения:
Вас заинтересует