• Предмет: Математика
  • Автор: XxheathenxX
  • Вопрос задан 9 лет назад

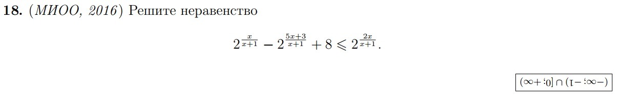
СРОЧНО!!! ПОМОГИТЕ!!!

Приложения:

Ответы

Ответ дал: JessicaPearson
0
Из правой части переносишь в левую - больше или равно нуля
Потом приводишь к общему знаменателю
Далее заменяешь переменную и решаешь
Ответ дал: XxheathenxX
0
Это понятно. Мне бы со степенями разобраться.
Ответ дал: JessicaPearson
0
это формулы надо знать.
Вас заинтересует