• Предмет: Алгебра
  • Автор: egorromanov03
  • Вопрос задан 9 лет назад

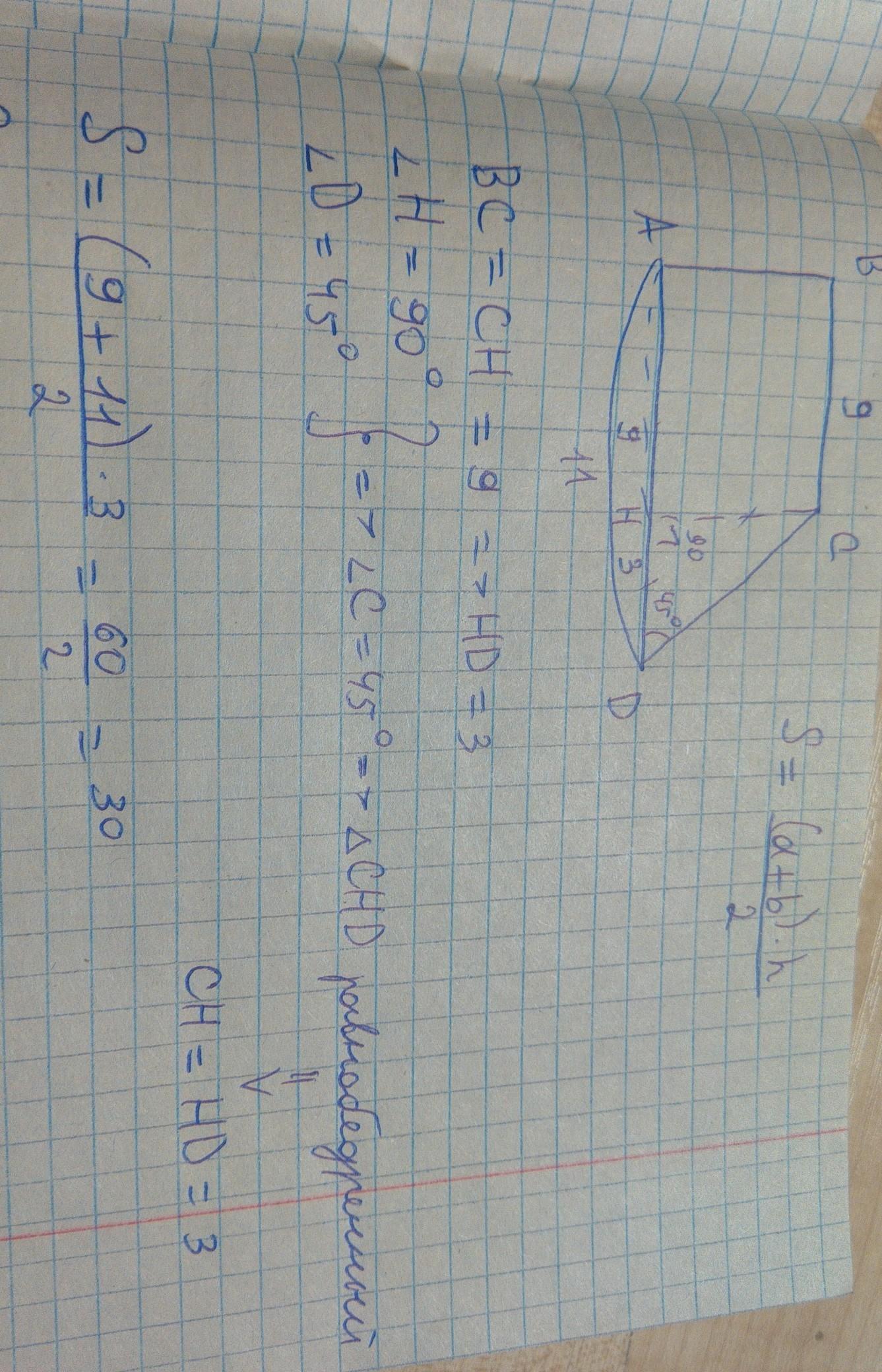
найдите площадь прямоугольной трапеции основания которой равны 9 и 11 большая боковая сторона составляет с основанием угол 45 градусов

Ответы

Ответ дал: zalika62
0

Вот решение. Уверена, что сделано правильно. Ответ: 30

Приложения:
Вас заинтересует