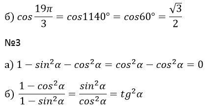
Помогите пожалоста срочно надо даю 20 балов если можна то на папери написать розвязання
Приложения:

Ответы
Ответ дал:
0
!!!!!!!!!!!!!!!!!!!!!!!!!!!
Приложения:

Вас заинтересует
2 года назад
2 года назад
3 года назад
3 года назад
9 лет назад
10 лет назад