• Предмет: Алгебра
  • Автор: Лубаша
  • Вопрос задан 9 лет назад

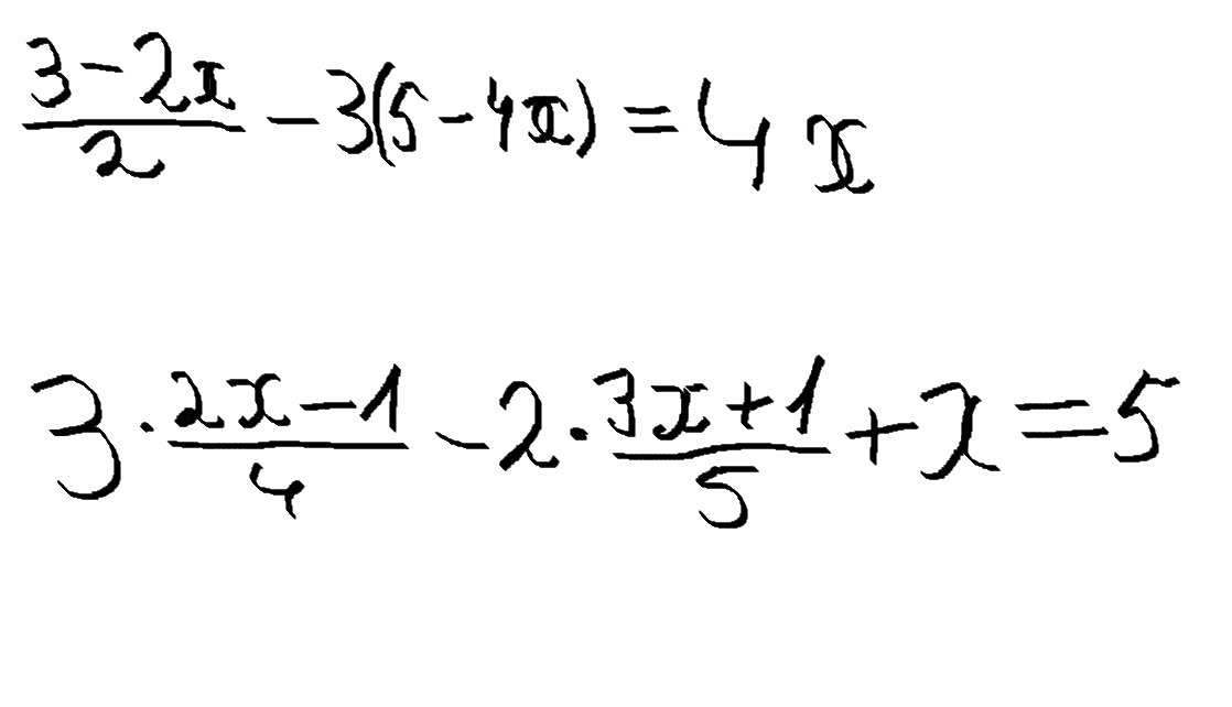
решите 2 уровнения


Зарание спасибо♥♥♥♥♥♥

Приложения:

Ответа на этот вопрос пока нет. Попробуйте найти его через форму поиска.

Вас заинтересует