• Предмет: Геометрия
  • Автор: ep53
  • Вопрос задан 9 лет назад

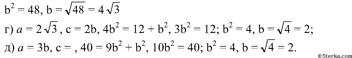
в прямоугольном треугольнике A и B катеты, C гипотенуза. Найдите b, если а=3b, C=2√10.

Ответы

Ответ дал: natborodaewa20
0
ну как-то так только фото в обратном порядке
Приложения:
Вас заинтересует