• Предмет: Алгебра
  • Автор: КаРаТиСтКиОкУшИнА
  • Вопрос задан 9 лет назад

Сократите
Нужно приравнять нижний и верхний примеры. Потом решить через дискриминант (приведенное квадратное уравнение/квадратное уравнение общего вида)
а потом ответ записать в виде скобок (х-1)(х+7) (например)
и сократить
Распишите подробно, пожалуйста

Приложения:

Ответы

Ответ дал: tgz
0
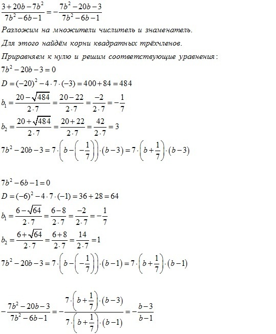
Решение на фотографии.
Приложения:
Ответ дал: КаРаТиСтКиОкУшИнА
0
Если в ответах написано: 3-b/b-1... Ответ все равно один и тот же?
Ответ дал: tgz
0
Ответ один и тот же. -(b-3)/(b-1)=(3-b)/(b-1). В ответе минус перед дробью внесли в числитель.
Ответ дал: КаРаТиСтКиОкУшИнА
0
Хорошо
Ответ дал: КаРаТиСтКиОкУшИнА
0
Спасибо большое!!!
Вас заинтересует