• Предмет: Математика
  • Автор: AlinaLem1
  • Вопрос задан 9 лет назад

Вычислите, срочно..
Мне необходимо...

Приложения:

Ответы

Ответ дал: NikitaNovv
0
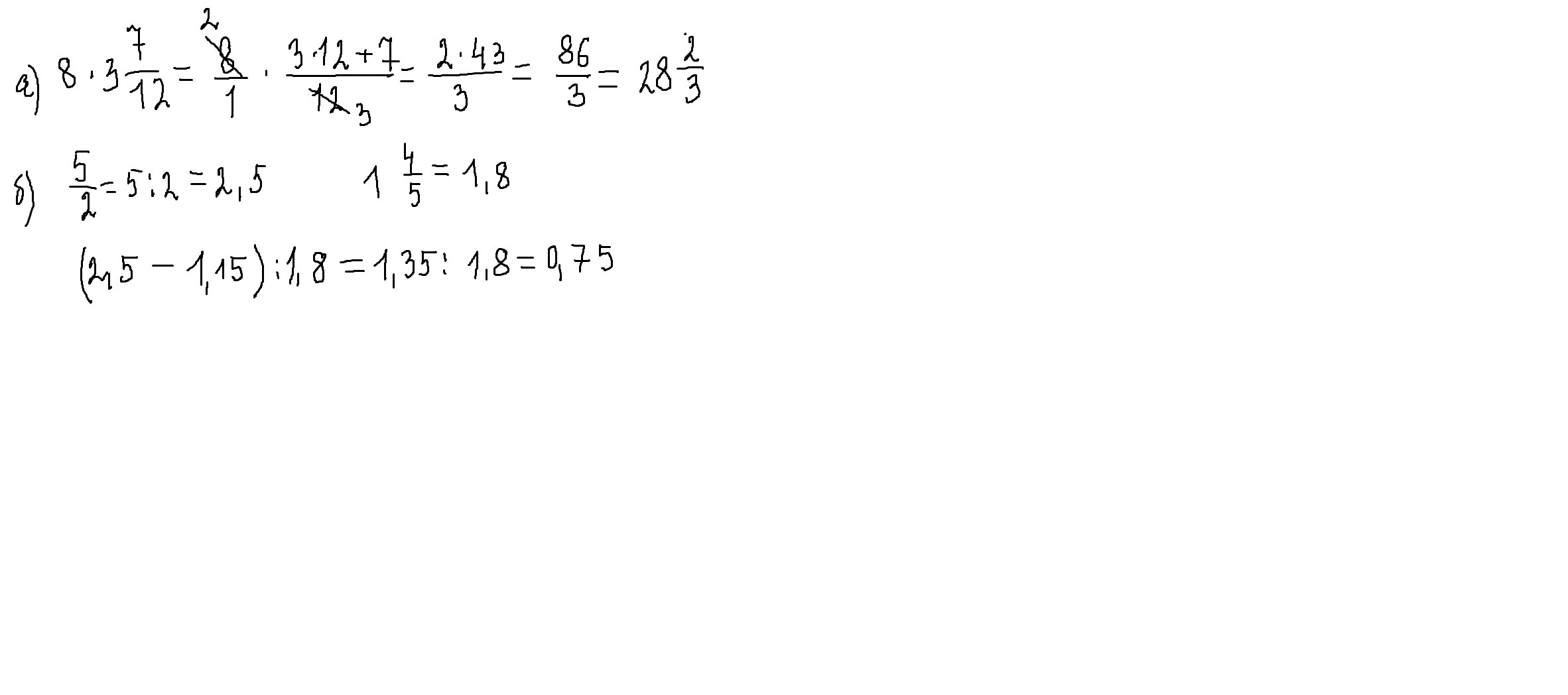
8 x 3 7/12=8/1x43/12=86 / 3=84 2/3

Ответ дал: AlinaLem1
0
Спасибо, но ещё нужно под Б.
Ответ дал: NikitaNovv
0
Ща этот тоже решу и напишу)
Ответ дал: parus77
0
решение смотри внизу
Приложения:
Ответ дал: AlinaLem1
0
спасибо
Вас заинтересует