• Предмет: Математика
  • Автор: lyudsiya1337
  • Вопрос задан 9 лет назад

Срочноо!!дам много баллов!!!
РЕШИТЕ 1 НОМЕР И ВСЕ!!

Приложения:

Ответы

Ответ дал: Iruska1802
0
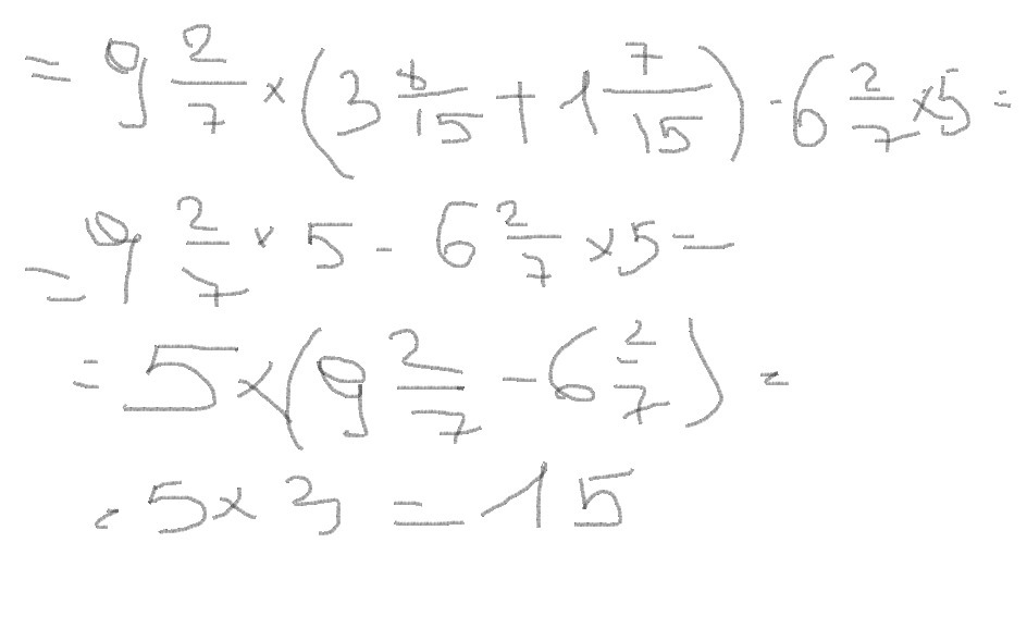
Посмостри картинки, 2-е точно правильное
Приложения:
Ответ дал: Iruska1802
0
в первом можешь подругому
Ответ дал: lyudsiya1337
0
спс
Ответ дал: lyudsiya1337
0
огромное
Вас заинтересует