• Предмет: Математика
  • Автор: elinapak
  • Вопрос задан 9 лет назад

помогите пожалуйста 5 класс даю 63 балла

Приложения:

Ответы

Ответ дал: Iruska1802
0
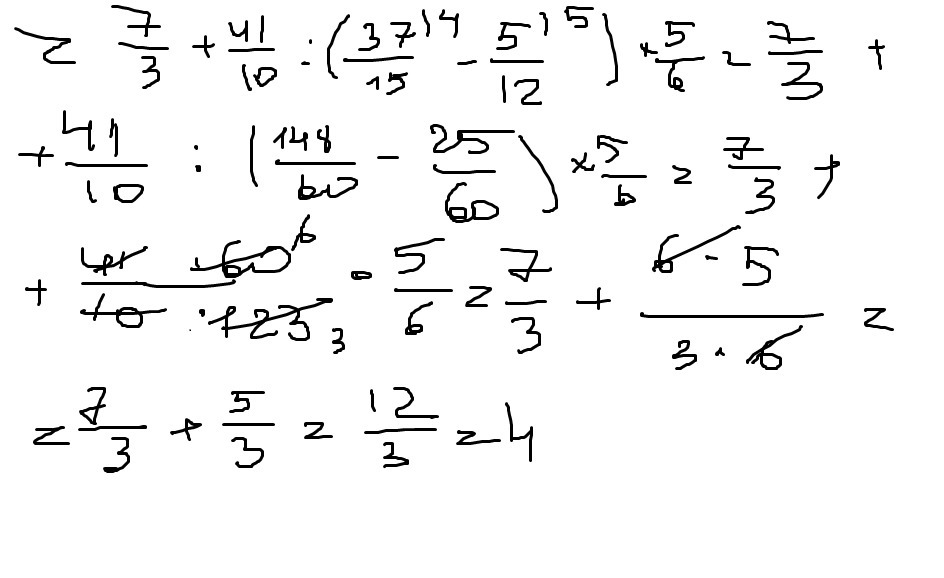
Это первый пример. смотри картинку
Приложения:
Ответ дал: elinapak
0
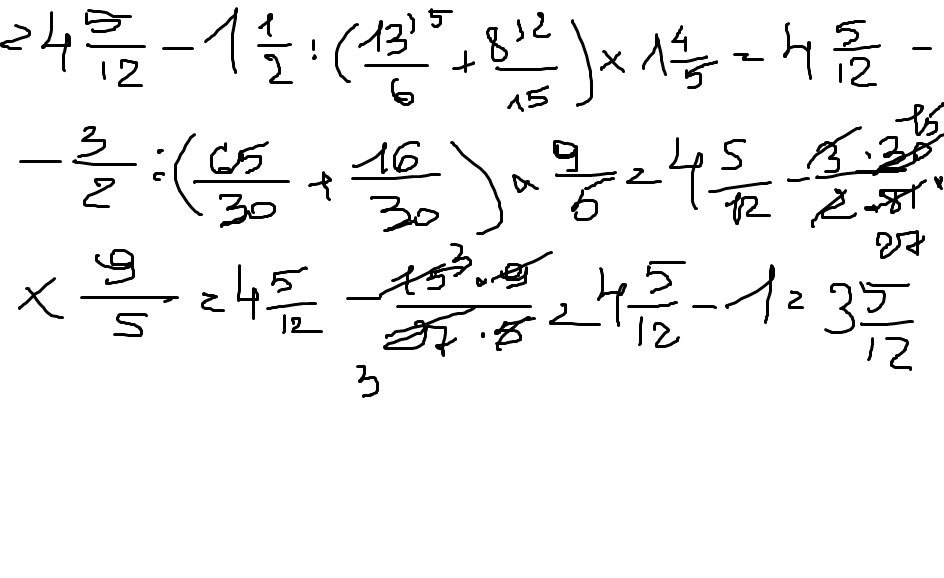
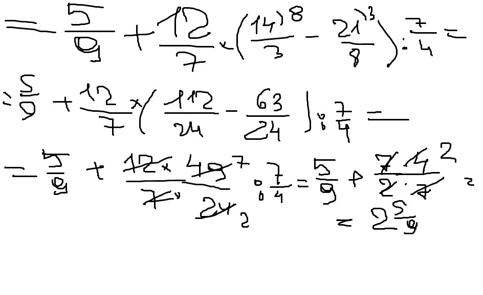
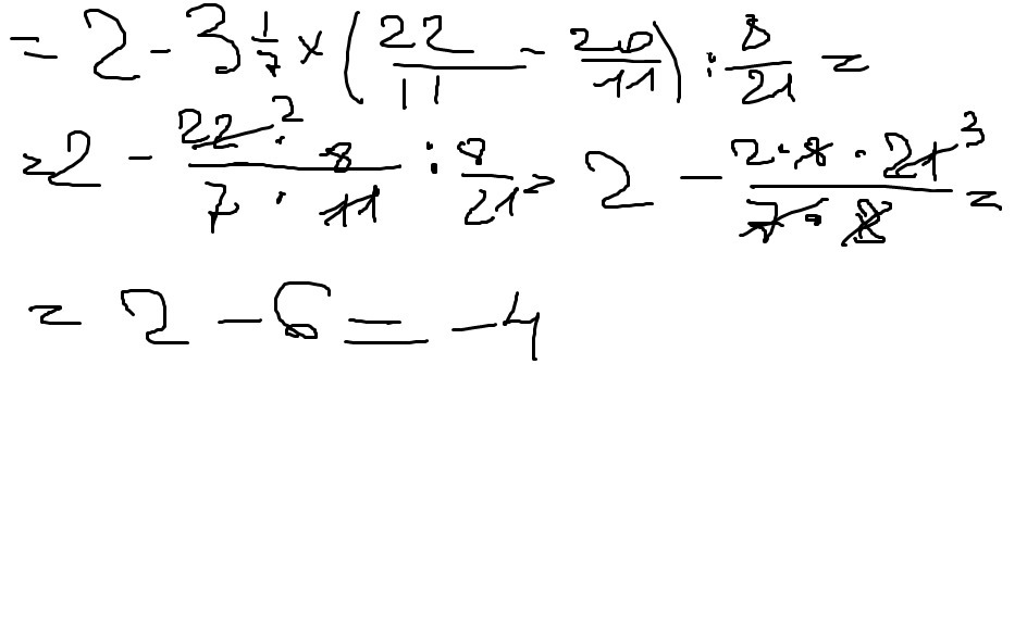
можешь ещё 2 3 и 4 пример
Ответ дал: elinapak
0
можешь ещё 2 3 и 4 пример
Ответ дал: elinapak
0
можешь ещё 2 3 и 4 пример
Ответ дал: elinapak
0
можешь ещё 2 3 и 4 пример
Ответ дал: elinapak
0
можешь ещё 2 3 и 4 пример
Вас заинтересует