• Предмет: Алгебра
  • Автор: Аноним
  • Вопрос задан 11 лет назад

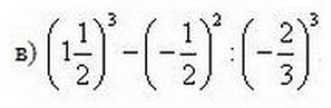
Решите кто нибудь пожалуйста!!!!

Приложения:

Ответы

Ответ дал: УмничкаРазумничка
0
- :==
вот и ответ, считается легко но лучше проверь
Ответ дал: УмничкаРазумничка
0
не получилось но ответ будет 2 17/32
Вас заинтересует