Даю 50 баллов
Чтобы все правильно,помогите
Срочно, напишите с решением и с дано
1)тело движется по окружности радиусом 25 см со скоростью 10 м/с.Определите ускорение, с которым оно движется
2)два тела массами 20 т и 40 т находятся на расстоянии 200 м. Определите силу, с которой они притягиваются
Ответы
Ответ дал:
0
1) a центростремительное=V²/R;
a=100/0.25=400м/с²
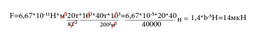
2) Дано:
m1=20т=20000кг
m2=40т=40000кг
R=200
G=6,67*10^-11
Найти:
F-?
Решение:
F=G*m1*m2/R^2
a=100/0.25=400м/с²
2) Дано:
m1=20т=20000кг
m2=40т=40000кг
R=200
G=6,67*10^-11
Найти:
F-?
Решение:
F=G*m1*m2/R^2
Приложения:
Ответ дал:
0
а откуда 100 взялось?
Ответ дал:
0
Смотри формулу + я тебе пояснила в лс.
Вас заинтересует
2 года назад
3 года назад
10 лет назад