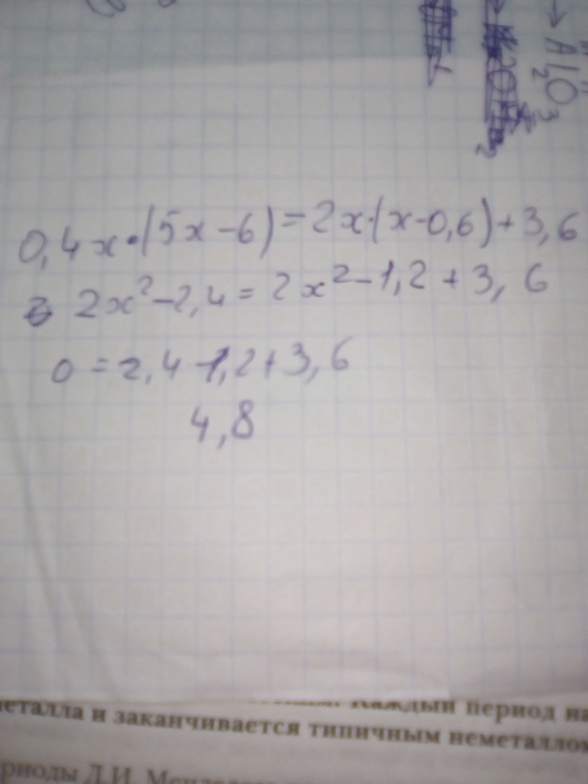
при каком значении переменной значение выраженич 0,4 x (5x-6) на 3,6 меньше значения выражения 2x (x-0,6)
Ответы
Ответ дал:
5
При=4,8, будет меньше на...........
Приложения:

Вас заинтересует
1 год назад
1 год назад
2 года назад
3 года назад
8 лет назад
8 лет назад