Ответы
Ответ дал:
0
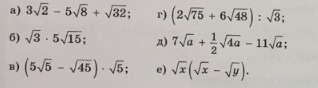
а) 3√2-10√2+4√2= -3√2
б) 5√15*3= 5√45= 15√5
в) √125*5 - √45*5=√625-√225=25-15=10
г) √300:3+√1728:3=√100+√576=10+24=34
д) 7√a+2/2√a-11√a= -3√a
е) √x²-√xy=x-√xy
б) 5√15*3= 5√45= 15√5
в) √125*5 - √45*5=√625-√225=25-15=10
г) √300:3+√1728:3=√100+√576=10+24=34
д) 7√a+2/2√a-11√a= -3√a
е) √x²-√xy=x-√xy
Ответ дал:
0
Спасибо огромное выручила!
Вас заинтересует
2 года назад
3 года назад
9 лет назад
10 лет назад