Ответы
Ответ дал:
0
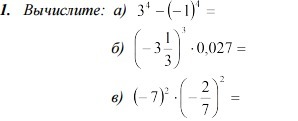
а)

б)

в)

б)
в)
Вас заинтересует
2 года назад
2 года назад
3 года назад
3 года назад
9 лет назад
10 лет назад