Вместо цикла For использовать цикл While так, само задание состоит в том, чтобы ввести n различных чисел найти количество положительных чисел и написать математическую модель
Var a,n,i,k:integer;
Begin
Readln(n);
k:=0;
For i:=1 to N do
Begin
readln(a);
if a>0 then k:=k+1;
end;
Writeln(k);
End.
Ответы
Ответ дал:
0
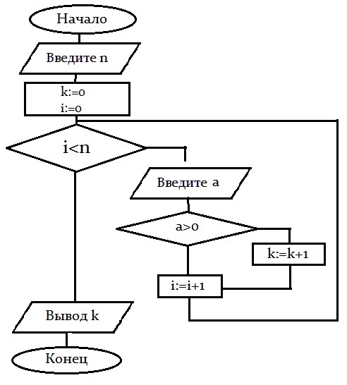
Var
a,n,i,k:integer;
Begin
Readln(n);
k:=0;
i:=0;
while i<n do
Begin
readln(a);
if a>0
then k:=k+1;
i:=i+1;
end;
Writeln(k);
End.
Если не будет хватать одного выполнения то напишешь "while i<n+1 do"
a,n,i,k:integer;
Begin
Readln(n);
k:=0;
i:=0;
while i<n do
Begin
readln(a);
if a>0
then k:=k+1;
i:=i+1;
end;
Writeln(k);
End.
Если не будет хватать одного выполнения то напишешь "while i<n+1 do"
Приложения:
Ответ дал:
0
формулы
Ответ дал:
0
Кое как в пейнте нарисовал, немного не естетически получилось, но ты можешь переделать если захочешь
Ответ дал:
0
Спасибо тебе большое)
Ответ дал:
0
Ой, ошибку
Ответ дал:
0
Все исправил
Вас заинтересует
2 года назад
3 года назад
3 года назад
9 лет назад
9 лет назад
10 лет назад