Ответы
Ответ дал:
0
!!!!!!!!!!!!!!!!!!!!!!!!!!!
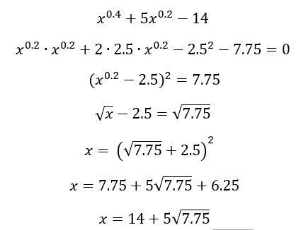
Приложения:

Вас заинтересует
3 года назад
3 года назад
9 лет назад
10 лет назад