Ответы
Ответ дал:
0
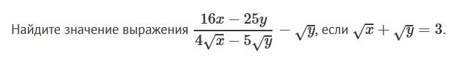
Для того, чтобы найти значение выражения ( 16 * x - 25 * y ) ÷ ( 4 √ x - 5 √ y ) -√y при √ x + √ y = 3, нужно выражение сначала упростить, а затем подставить известное значение.
То есть получаем: ( 16 * x - 25 * y ) ÷ ( 4 √ x - 5 √ y ) -√y = ( 4 ^ 2 * x - 5 ^ 2 * y ) ÷ ( 4 √ x - 5 √ y ) -√y = ( 4 * √ x + 5 √ y ) * ( 4 √ x - 5 √ y ) / ( 4 √ x - 5 √ y ) -√y ;
Числитель и знаменатель в дроби сокращаем на ( 4 √ x - 5 √ y ),
тогда получим: ( 4 * √ x + 5 √ y ) * ( 4 √ x - 5 √ y ) / ( 4 √ x - 5 √ y ) -√ y = ( 4 * √ x + 5 √ y ) * 1 / 1 -√ y = 4 * √ x + 5 √ y -√ y = 4 * √ x + 4 √ y = 4 * ( √ x + √ y ) = 4 * 3 = 12.
Ответ: 12.
главное не запутайся
То есть получаем: ( 16 * x - 25 * y ) ÷ ( 4 √ x - 5 √ y ) -√y = ( 4 ^ 2 * x - 5 ^ 2 * y ) ÷ ( 4 √ x - 5 √ y ) -√y = ( 4 * √ x + 5 √ y ) * ( 4 √ x - 5 √ y ) / ( 4 √ x - 5 √ y ) -√y ;
Числитель и знаменатель в дроби сокращаем на ( 4 √ x - 5 √ y ),
тогда получим: ( 4 * √ x + 5 √ y ) * ( 4 √ x - 5 √ y ) / ( 4 √ x - 5 √ y ) -√ y = ( 4 * √ x + 5 √ y ) * 1 / 1 -√ y = 4 * √ x + 5 √ y -√ y = 4 * √ x + 4 √ y = 4 * ( √ x + √ y ) = 4 * 3 = 12.
Ответ: 12.
главное не запутайся
Вас заинтересует
2 года назад
3 года назад
9 лет назад
10 лет назад