• Предмет: Математика
  • Автор: kotyatavspalne
  • Вопрос задан 9 лет назад

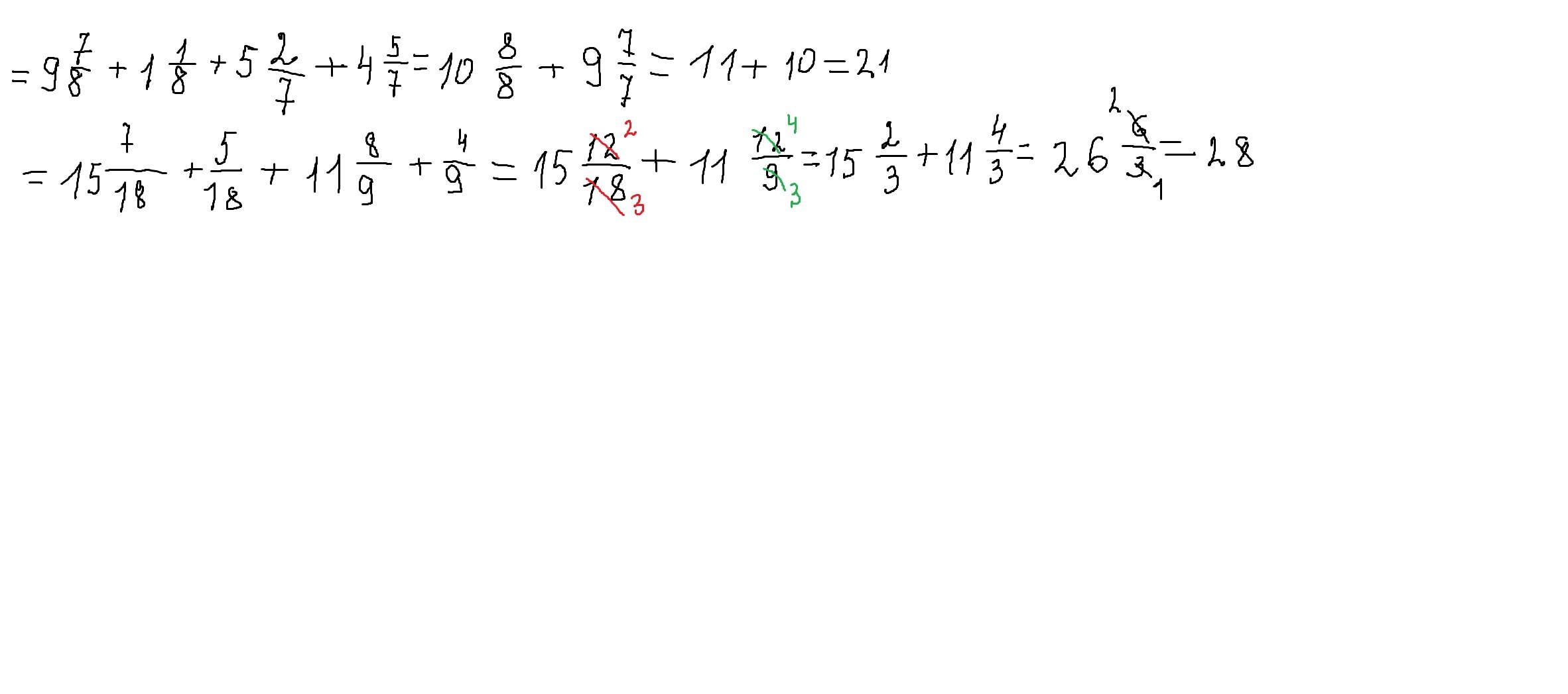
Применяя переместительное и сочетательное свойства сложения найдите сумму 978+527+118+457 и 15 718+11 89+49+518 срочно

Ответы

Ответ дал: parus77
0
решение смотри внизу
Приложения:
Вас заинтересует