• Предмет: Химия
  • Автор: Lera8817
  • Вопрос задан 9 лет назад

1,2 пожалуйста решите(желательно с подробным решением)

Приложения:

Ответы

Ответ дал: Samira25032005
0
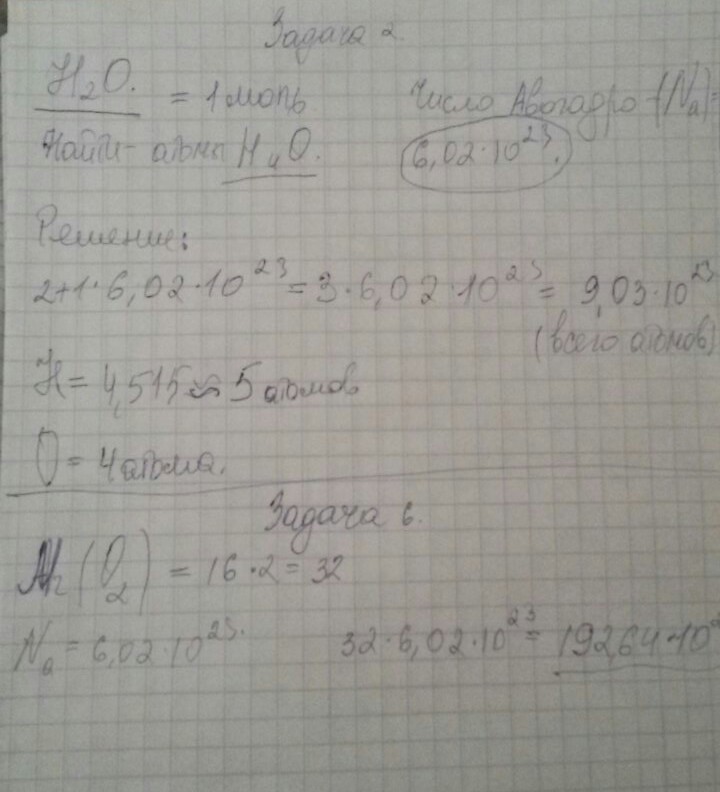
Решила то что смогла.........
Приложения:
Вас заинтересует