• Предмет: Математика
  • Автор: Daurova2008
  • Вопрос задан 9 лет назад

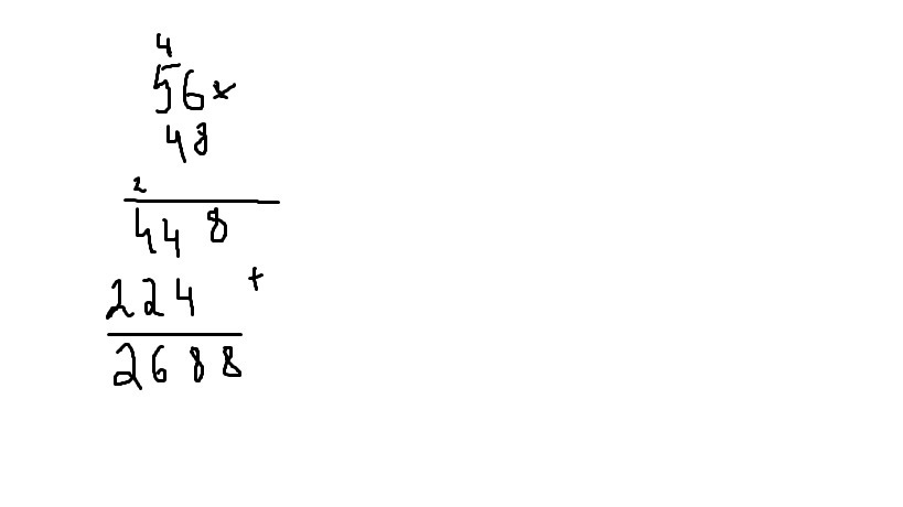
56×48=? Скажите пожалуйста.

Ответы

Ответ дал: Albert116
0
Как решается в столбик)
Приложения:
Вас заинтересует