Ответы
Ответ дал:
0
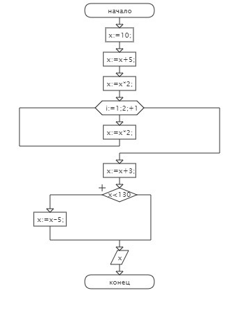
10
10+5=15
15*2=30
30*2=60
60*2=120
120+3=123
123<130, значит
123-5=118
Ответ:118
Алгоритм линейный,с повторением, с ветвлением
10+5=15
15*2=30
30*2=60
60*2=120
120+3=123
123<130, значит
123-5=118
Ответ:118
Алгоритм линейный,с повторением, с ветвлением
Приложения:

Вас заинтересует
2 года назад
3 года назад
9 лет назад
9 лет назад
10 лет назад