Ответы
Ответ дал:
0
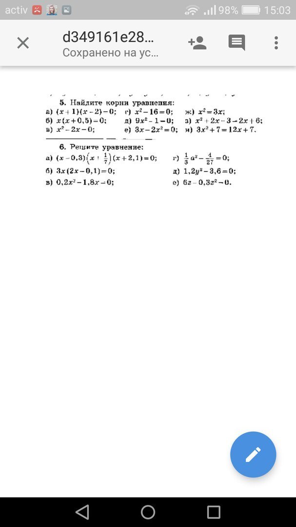
а) 
, 
б)
, 
в)
⇔ 
, 
г)
⇔ 
, 
д)
⇔ 
, 
е)
⇔ 
, 
ж)
⇔
⇔ 
, 
з)
⇔
⇔ 
, 
и)
⇔
⇔ 
, 
б)
в)
г)
д)
е)
ж)
з)
и)
Вас заинтересует
2 года назад
2 года назад
3 года назад
3 года назад
9 лет назад