Ответы
Ответ дал:
0
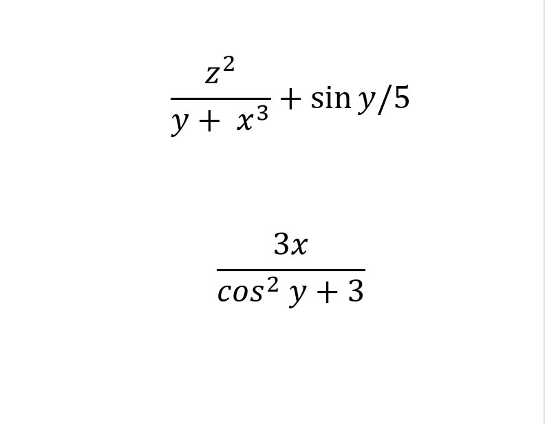
1) sqr(z)/(y+sqr(x)*x)+sin(y/5)=
2) 3x/(sqr(cos(y))+3)=
2) 3x/(sqr(cos(y))+3)=
Вас заинтересует
2 года назад
2 года назад
3 года назад
3 года назад
9 лет назад
9 лет назад
10 лет назад