Нужно решить системы.Моё увожение если поможете
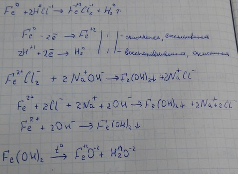
1.Fe --- FeCl2 --- Fe(OH)2 --- FeO
2.Fe --- FeCl3 --- Fe(OH)3 ---Fe2O3
Ответы
Ответ дал:
0
Для первой цепочки используйте прикреплённую фотографию (если не надо ОВР, не пишите)
Для второй цепочки используйте текст снизу:
2Fe + 3Cl2 = 2FeCl3
FeCl3 + 3NaOH = Fe(OH)3 + 3NaCl
2Fe(OH)3 = Fe2O3 + 3H2O
Для второй цепочки используйте текст снизу:
2Fe + 3Cl2 = 2FeCl3
FeCl3 + 3NaOH = Fe(OH)3 + 3NaCl
2Fe(OH)3 = Fe2O3 + 3H2O
Приложения:

Вас заинтересует
2 года назад
2 года назад
3 года назад
9 лет назад
10 лет назад